My question involves a traffic ticket from the state of: Washington
Hello - This is my first time dealing with this so would appreciate any help.
I am a Canadian and was driving northbound on the I5 when the incident happened one evening when the sun was still out. I had just turned a bend when I saw the police vehicle and within seconds he turned on his lights and I approached him until we were parallel when he signaled for me to park aside.
The officer asked why I was going so fast (to which I did not respond before he asked for my license), he went back to his vehicle, came back with the ticket, told me I had three options, check the box and mail it back. I read on the ticket that I was being charged for Negligent Driving 2nd Degree. I asked the officer how Negligent Driving was different from speeding. He said negligent driving would not impact my insurance in BC but speeding would even though speeding was cheaper (made no sense at all but I didn't say anything). He said he could've charged me for reckless driving but he didn't. I asked again why Negligent Driving and he said I was going very fast (apparently 88 in a 60 zone) and that was within range for Negligent Driving 2nd Degree. I had more questions to ask but he turned around and left.
The violation reads as "46.61.525 NEGLIGENT DRIVING 2ND DEGREE 88MPH IN 60MPH ZONE".
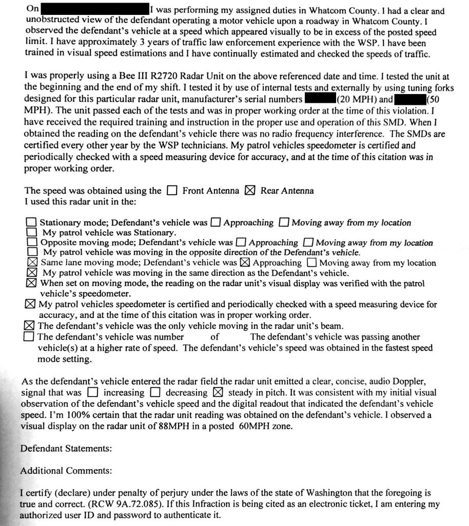
The SMD box was not checked. Nor was PACE or AIRCRAFT (below).
I contested the charge because I did not feel like I was going at 88, and the officer provided me no straight answer to why I was being charged for Negligent Driving. I am convinced that he charged me for whatever he could that costed the most, considering I am Canadian and probably wouldn't appeal. I requested for discovery documents using Barry's template and asked for:
- list of witnesses the plaintiff intends to call at the hearing
- officer's sworn statement
- calibration and certification log for the SMD (even though the box was not checked... I asked in good measure since I'm representing myself and didn't want to be surprised)
- copy of the dash cam and body cam.
I received the notice that the officer will be the prospector's witness, and the officer's sworn statement (below).
My questions are:
- I read that speed alone cannot be reason for the Negligent Driving 2nd Degree charge - what can I say to that effect? Is this my main argument?
- The SMD box was not checked off in the ticket, but the sworn statement says that was using a RADAR - am I able to dismiss the radar use because it wasn't indicated in the ticket?
- No radar reading was provided - is that ok? Couldn't they just say they read whatever they want from the radar?
- I'm guessing it's ok that they didn't provide the last two items that I requested?
- Would the officer actually show up now that the prosecutor said he was a witness? Or do they just list that even though he may or may not show up?
- Is there anything I have missed in the statement that can be used to my advantage?
Appreciate any comments. Thank you in advance for your time.



