My question involves a traffic ticket from the state of: WA
HELP! I've procrastinated and have court tomorrow morning without a defense. to be honest, I wasn't even going that much over the speed limit, but I know that argument won't hold up in court. Any advice/suggestions?
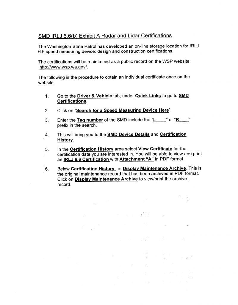
![]()






